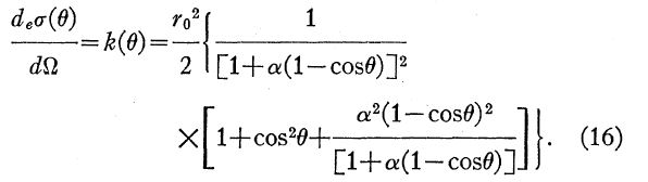
Compton effect differential cross section for the scattered electrons